If you’ve started learning about binary trees in Data Structures, you’ve probably come across the term AVL Tree. But what exactly is it, and why does it matter so much?
In this blog, we’ll explore the full form of AVL Tree, its working principles, and why it plays such a significant role in maintaining balanced binary search trees. You’ll learn how it’s implemented, what problems it solves, and how it fits into real-world use cases plus C code examples, of course.

Check out the latest Uncodemy blog and explore their DSA courses for deeper learning.
Let’s start with the basics. AVL Tree stands for Adelson-Velsky and Landis Tree, named after its inventors Georgy Adelson-Velsky and Evgenii Landis, who introduced it in 1962.
It was the first self-balancing binary search tree in computer science history.
In a standard Binary Search Tree (BST), if you insert nodes in a sorted manner (ascending or descending), the tree becomes skewed essentially turning into a linked list. This drastically impacts search efficiency.
AVL Trees prevent this problem by keeping the height of the tree balanced at all times.
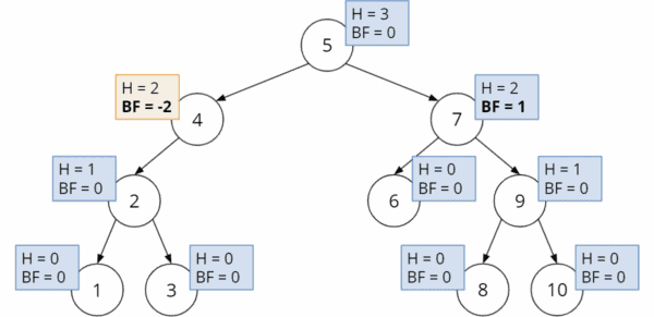
The balance factor of a node in an AVL tree is defined as:
Balance Factor = Height of Left Subtree - Height of Right Subtree
To fix an imbalance, AVL trees use four types of rotations:
1. Left Rotation (LL Case)
2. Right Rotation (RR Case)
3. Left-Right Rotation (LR Case)
4. Right-Left Rotation (RL Case)
If a new node is inserted into the right subtree of a node's right child, we perform a left rotation.
Here’s a simplified AVL Tree implementation in C that includes insertion and balancing logic:
Copy Code
#include <stdio.h>
#include <stdlib.h>
struct Node {
int key;
struct Node *left;
struct Node *right;
int height;
};// Function to get height of tree
Copy Code
int height(struct Node *N) {
if (N == NULL)
return 0;
return N->height;
}// Get max of two integers
Copy Code
int max(int a, int b) {
return (a > b)? a : b;
}// Create new node
Copy Code
struct Node* newNode(int key) {
struct Node* node = (struct Node*)malloc(sizeof(struct Node));
node->key = key;
node->left = NULL;
node->right = NULL;
node->height = 1;
return(node);
}// Right rotate subtree rooted with y
Copy Code
struct Node *rightRotate(struct Node *y) {
struct Node *x = y->left;
struct Node *T2 = x->right;
x->right = y;
y->left = T2;
y->height = max(height(y->left), height(y->right))+1;
x->height = max(height(x->left), height(x->right))+1;
return x;
}// Left rotate subtree rooted with x
Copy Code
struct Node *leftRotate(struct Node *x) {
struct Node *y = x->right;
struct Node *T2 = y->left;
y->left = x;
x->right = T2;
x->height = max(height(x->left), height(x->right))+1;
y->height = max(height(y->left), height(y->right))+1;
return y;
}// Get balance factor
Copy Code
int getBalance(struct Node *N) {
if (N == NULL)
return 0;
return height(N->left) - height(N->right);
}// Insert into AVL Tree
Copy Code
struct Node* insert(struct Node* node, int key) {
if (node == NULL)
return(newNode(key));
if (key < node->key)
node->left = insert(node->left, key);
else if (key > node->key)
node->right = insert(node->right, key);
else
return node;
node->height = 1 + max(height(node->left), height(node->right));
int balance = getBalance(node);
if (balance > 1 && key < node->left->key)
return rightRotate(node);
if (balance < -1 && key > node->right->key)
return leftRotate(node);
if (balance > 1 && key > node->left->key) {
node->left = leftRotate(node->left);
return rightRotate(node);
}
if (balance < -1 && key < node->right->key) {
node->right = rightRotate(node->right);
return leftRotate(node);
}
return node;
}// Inorder traversal
Copy Code
void inorder(struct Node *root) {
if(root != NULL) {
inorder(root->left);
printf("%d ", root->key);
inorder(root->right);
}
}
int main() {
struct Node *root = NULL;
root = insert(root, 30);
root = insert(root, 20);
root = insert(root, 40);
root = insert(root, 10);
printf("Inorder traversal of AVL Tree: ");
inorder(root);
return 0;
}Output
Inorder traversal of AVL Tree: 10 20 30 40
Q1. What is the full form of AVL Tree?
Adelson-Velsky and Landis Tree, named after the inventors.
Q2. What is the difference between AVL and BST?
AVL Tree is a self-balancing version of BST that ensures logarithmic height.
Q3. What happens when an AVL Tree becomes unbalanced?
It performs one of four rotations to regain balance: LL, RR, LR, RL.
Q4. Which is better: AVL or Red-Black Tree?
AVL provides better lookup performance but is more complex. Red-Black Trees are easier to implement in real-time systems.
Q5. Can AVL Tree have duplicate values?
Typically, no. AVL Tree is a type of BST, and BSTs don't allow duplicates.
The AVL Tree is a foundational concept in balancing binary search trees. With its self-adjusting structure and guaranteed log-time performance, it's an essential topic in both academic exams and tech interviews.
Want to build a strong grasp on such topics with real-world problem-solving skills?
VisitUncodemy's DSA course to master tree structures, algorithms, and beyond with hands-on learning.
Personalized learning paths with interactive materials and progress tracking for optimal learning experience.
Explore LMSCreate professional, ATS-optimized resumes tailored for tech roles with intelligent suggestions.
Build ResumeDetailed analysis of how your resume performs in Applicant Tracking Systems with actionable insights.
Check ResumeAI analyzes your code for efficiency, best practices, and bugs with instant feedback.
Try Code ReviewPractice coding in 20+ languages with our cloud-based compiler that works on any device.
Start Coding
TRENDING
BESTSELLER
BESTSELLER
TRENDING
HOT
BESTSELLER
HOT
BESTSELLER
BESTSELLER
HOT
POPULAR